地球环境研究所在固废资源化研究领域取得系列新进展
伴随我国经济持续发展,矿产资源需求攀升导致矿山固废堆存量激增,矿山固废全量资源化利用是减轻环境压力、缓解资源短缺的有效途径。然而,由于矿山固废组分复杂,存在污染风险高、高附加值转化技术匮乏等难题。针对上述挑战,我所固废资源化利用团队近期在铅锌尾矿的环境风险评估、锌冶炼烟化炉水淬渣和粉煤灰的高值化利用新技术方面取得新进展,相关成果如下:
一、秦岭铅锌尾矿环境风险评估
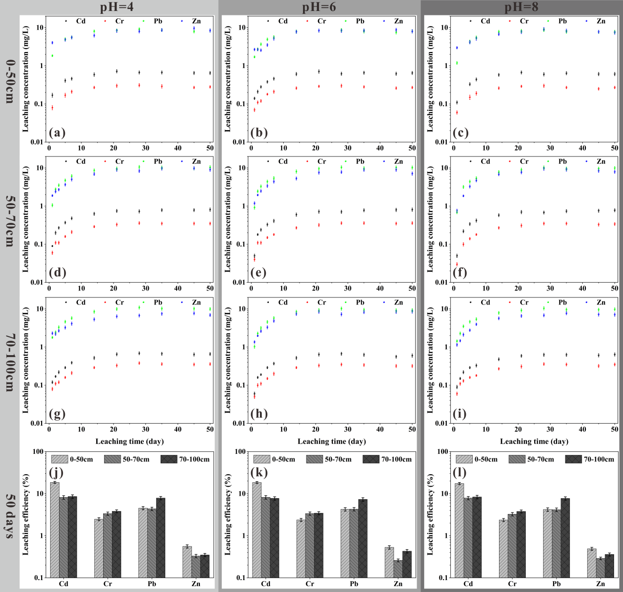
秦岭地区铅锌尾矿数量众多,但其风化行为与环境风险研究较少。团队以陕西秦岭东南麓某处铅锌尾矿剖面为研究对象,详细分析了不同深度铅锌尾矿粒度、化学组成、矿物组成、微观形貌和风化指数,结合尾矿重金属浸出试验,系统评估了不同深度铅锌尾矿重金属的污染指数与浸出行为,并提出了减缓秦岭地区铅锌尾矿重金属迁移的控制措施。该成果由博士研究生胡神涛为第一作者,周卫健研究员为通讯作者。

图1 不同条件下铅锌尾矿重金属的浸出浓度与浸出率
二、锌冶炼烟化炉水淬渣有价组分高效分离提取
水淬渣作为冶金工业产生的一种常见固体废弃物,因其高含铁量、显著的玻璃体结构特征、高碱度特性以及高硅钙含量等性质,导致难以通过常规工艺实现高效、高附加值资源化回收。本团队以锌冶炼烟化炉水淬渣为原料,采取超声波辅助强化及二段浸出工艺,并通过响应曲面法建模优化实验条件,最终使水淬渣中的铁、锌元素浸取率大于93%,铜浸取率大于87%。酸浸溶液经聚合、干燥生产、除杂精制、铵法合成等多级工艺,最终生产纯度大于99.7%的电池级磷酸铁产品。新技术具有资源利用率高、产品质量具有市场竞争力、原料环保等显著优点,这一方法的提出,为高含铁固废的高附加值化回收提供了新的思路,提升了传统固废回收方法的效率和效益。标志着团队在一系列尾矿综合利用的工业化试验之后,在固废资源化利用方面研究的又一原创性成果。该成果由博士研究生李璇为第一作者,周卫健研究员为通讯作者。

图2 水淬渣分离回收有价金属元素并制备高纯磷酸铁产品
三、粉煤灰常压制备X型分子筛
我国粉煤灰年排放量位居世界首位,其大量排放与堆存带来了显著的生态环境污染风险。本团队提出了一种新型的粉煤灰基分子筛制备方法:通过常压下碱熔和两步老化法,将粉煤灰制备成具有微孔-介孔复合结构的X型分子筛(ZX-CFA)。吸附实验表明,ZX-CFA对Cu2+/Sr2+共存体系的最大吸附容量达134.0 mg·g-1,且对Cu2+具有选择性吸附能力。研究基于“以废治废”思路,提出了一种经济型的粉煤灰基分子筛合成方法,所制备分子筛对典型重金属及放射性元素表现出良好的吸附性能,为粉煤灰的高值资源化利用提供了一种新方案。该成果由博士研究生王美霞为第一作者,周卫健研究员和熊晓虎博士为共同通讯作者。

图3 粉煤灰基多级孔结构X型分子筛的常压制备及其对金属离子的吸附
以上相关成果近期分别发表于《Applied Geochemistry》、《Journal of Environmental Chemical Engineering》和《地球环境学报》(录用,待拟刊),得到了黄土与第四纪地质国家重点实验室重点项目(SKLLQGZD2101),陕西省技术创新引导专项(2024QY-SZX-31)和西安地球环境创新研究院院级科研基金项目(XAIIEER2309)的共同资助。论文详细信息如下:
Hu,S.;Xiong,X.;Li,X.;Wang,M.;Xu,D.;Zhou,W.*,Distribution and leachability of heavy metals from lead-zinc tailings with different degrees of chemical weathering in the Qinling Mountains. Applied Geochemistry 2025,189,106434. https://doi.org/10.1016/j.apgeochem.2025.106434.
Li,X.,Xiong,X.,Hu,S.,Wang,M.,Sun,Y.,& Zhou,W*. (2025). Efficient Recovery of Metals from Zinc Smelting Slag via Ultrasonic-Assisted Leaching and Synthesis of High-Purity Ferric Phosphate. Journal of Environmental Chemical Engineering,117616. https://doi.org/10.1016/j.jece.2025.117616.
王美霞,熊晓虎,孙悦,胡神涛,李璇,许东东,张银,周卫健*.2025.粉煤灰基多级孔结构X型分子筛的常压制备及其对金属离子的吸附机制研究[J].地球环境学报. 2025. (已录用)
附件下载: